Huisartszaken - Anemie
status
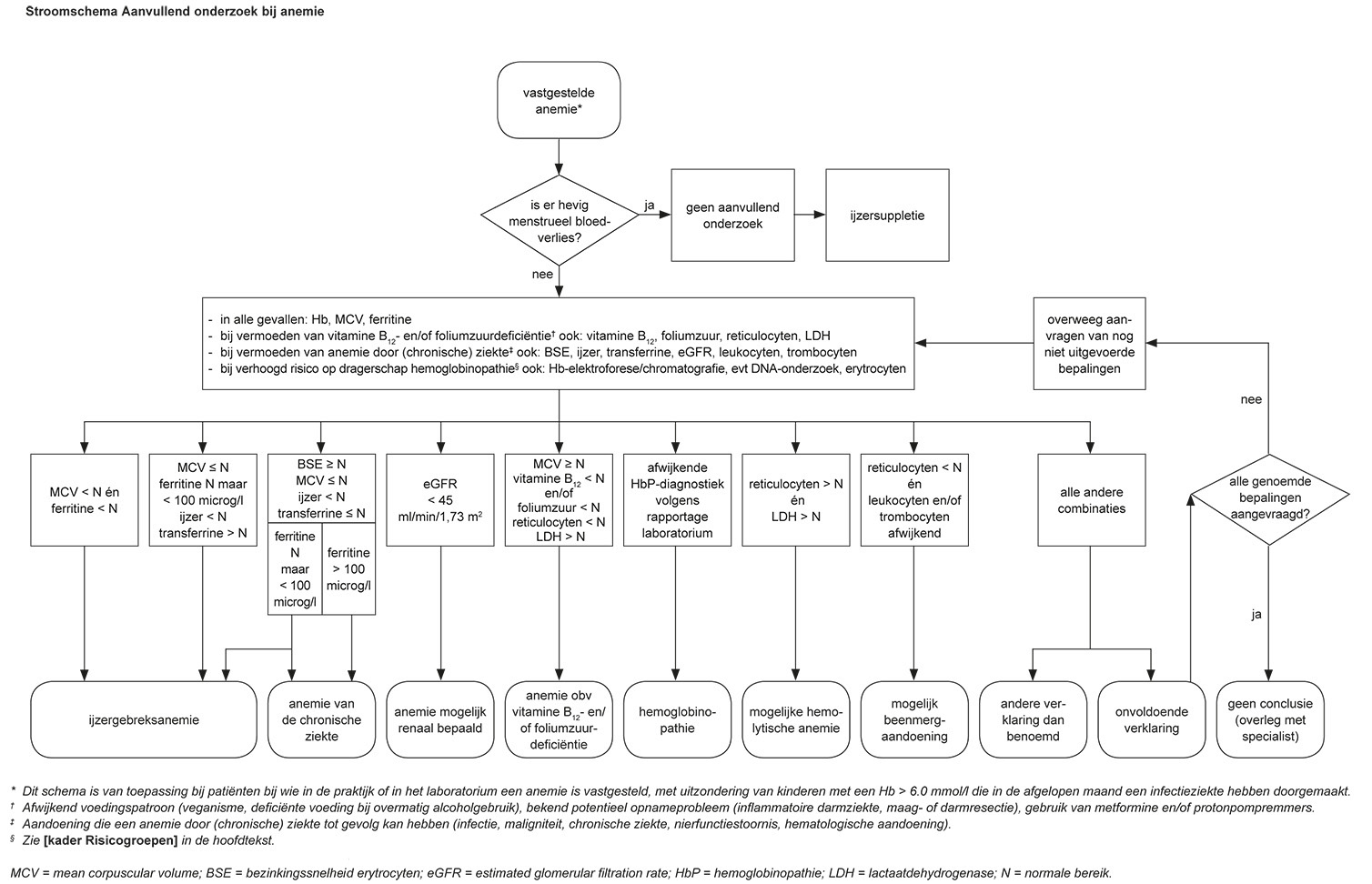
QR link

Anemie Ziektebeelden

Kinderen

Zie apart lemma Kind - differentiaaldiagnoses

Volwassenen

  • Hb vs erythrocyten
    • In bijv hemoglobinopathieën kan Hb laag-normaal zijn, ery's hoog-normaal → indicatie voor Hb-pathie bij normaal MCV
  • Ferritine
    • Maat voor ijzervoorraad in lichaam
    • Verhoogd: dd hemochromatose, alcoholabusus
      • Bepaal transferrine, ijzerverzadiging (=transferrinesaturatie = TSAT) en ferritine.
    • Ook acutefase-eiwit: bepaal ook CRP mee; kan vals-normaal zijn bij infectie
  • Transferrine
    • Vermogen om ijzer te transporteren in het bloed
    • Andere maat die hetzelfde meet: IJzerbindingscapaciteit (TYBC/TIJBC)
    • Maximale hoeveelheid ijzer die kan worden gebonden aan transferrine
    • Verhoogd: ijzergebrek, zwangerschap OAC.
    • Verlaagd: verdenking hemochromatose.
  • IJzer
  • Vitamine B12: waarde >220 is normaal, <148 is te laag. Hiertussen aanvullend methylmalonzuurbepaling. 
    • Bij opvallend hoog vitamine B12 gehalte zonder suppletie denk dan aan een maligniteit, alcoholische leverziekte of lachgasgebruik. Controleer dan ook methylmalonzuur, wanneer deze waarde te hoog is toch een vitamine B12 tekort.
Therapie
  • Ferrofumaraat 200mg 2x/week
    • Na 3 maanden ferrofumaraat geen verbetering? Overweeg thalassemie
    • 200mg ferrofumaraat = 65 mg Fe 2+ elementair ijzer
  • Ferrogluconaat
    • Bruistabletten en dranken geven vaker tandverkleuring en zijn duurder
    • Losferron bruistablet = 695 mg (waarvan 80mg Fe2+)
    • Floradix = 15 mg
  • Beide ferro(Fe2+)-preparaten. In winkel vaak ferri-(Fe3+), 16x mindere opname.
  • Voeding[1]
    • Opname alleen in vorm Fe2+, of gebonden aan proteine, bijvoorbeeld heem. Lage pH in (maag en) duodenum activeert ferri-reductase enzym tbv omzetting onopneembare Fe3+ naar opneembare Fe2+ ionen. Maagzuurhomeostase belangrijk in bloedijzerspiegel. PPIs verstoren ijzeropname.
    • Vitamine C vergroot opname ijzer uit darm, met name nuttig in dieet met veel non-heem ijzer (bij voornamelijk groentendieet). Ascorbinezuur vormt een verbinding met Fe3+ ijzer bij laag maagzuur, die oplosbaar blijft in alkalische omgeving duodenum.
  • EPO[2]
    • GFR < 30 geeft EPO-tekort. Bij EPO-suppletie streven naar Hb 6-6.5. Als patient hoger zit, nadelen groter dan voordelen.
  • Ferro-bisglycinaat chelaat = ferrous bisglycinate (oa Aminojern) 20-27mg/dag
    • IJzer gesynthetiseerd tot Ferrochel™, waar ijzermolecuul omgeven wordt door twee aminozuren glycinaat tot dipeptide. Dipeptides worden makkelijker opgenomen door de darmwand, daarna pas afgifte ijzer in bloed.
    • Idee: globaal even goede resultaten als met ferrofumaraat, minder bijwerkingen.[3][4]
    • Na 4-20 weken: SMD, 0.54 g/dL (0.15-0.94; P < 0.01) bij zwangeren in vergelijking met andere ijzervormen. Bijwerkingen RR 0.36 (0.17-0.76; P < 0.01)
    • Nadelen:
      • niet goed onderzocht in niet-zwangere volwassenen zonder kanker
        • In kinderen geen significante verschillen in Hb[5]
      • niet vergoed
        • Ferrofumaraat 200mg € 0,16/tablet, volledig vergoed
        • Ferro chelaat 20mg ("gentle iron") € 0,16/tablet, niet vergoed[6]
  • Beta-thalassemie
    • congenitale hemolytische anemie (verstoorde synthese van beta-ketens hemoglobine.
      • grote variatie fenotype
      • beta-thalassemie minor (asymptomatisch, heterozygoot)
      • beta-thalassemia intermedia (soms bloedtransfusie)
      • beta-thalassemia major (transfusie-afhankelijk)
    • Microcytaire anemie
    • Vaak trombocytose door toegenomen aanmaak oiv erythropoietine; zeker na splenectomie
      • Daarnaast verhoogd risico veneuze trombo-embolie door expressie pro-coagulante phospholipiden en activatie stollingsfactoren
      • Risicofactoren: oudere leeftijd, vrouw, ijzeroverschot, splenectomie
    • Red-cell distribution bijna altijd normaal (terwijl in ijzergebreksanemie vergroot)
Andere stollingsstoornissen
  • Trombose / verhoogde stollingsneiging
    • Factor V Leiden mutatie
    • Antiphospholipiden syndroom
  • Verhoogde bloedingsneiging
    • Ziekte van Von Willebrand (ZVW of VWD)
    • Factor VIII inhibitor formatie

[7]
gewijzigd 16-10-2025
Referenties